s
Economia e Finanza
Assegno unico, aumenti rivalutazione 2026: come cambiano importi e fasce Isee. Simulazioni
Oggi 11-11-25, 10:33
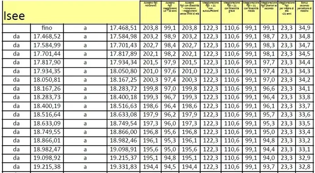
Come per le pensioni, anche per l'assegno unico la rivalutazione degli importi a partire dal 1° gennaio 2026 potrebbe essere più bassa delle attese. Assegno...
CONTINUA A LEGGERE
4
0
0
